Journal of the Korean Wood Science and Technology
The Korean Society of Wood Science & Technology
Original Article

The Effect of Boiling and Dry Heating on the Starch Content and Durability of Betung Bamboo (Dendrocalamus asper)

Salma NURHASANAH1, Endah SULISTYAWATI1, Ihak SUMARDI1,https://orcid.org/0000-0002-6617-6186, Atmawi DARWIS1
1School of Life Sciences and Technology, Institut Teknologi Bandung, Bandung 40132, Indonesia
Corresponding author: Ihak SUMARDI (e-mail: ihak@itb.ac.id)

Copyright 2026 The Korean Society of Wood Science & Technology. This is an Open-Access article distributed under the terms of the Creative Commons Attribution Non-Commercial License (http://creativecommons.org/licenses/by-nc/4.0/) which permits unrestricted non-commercial use, distribution, and reproduction in any medium, provided the original work is properly cited.

Received: Dec 14, 2025; Revised: Dec 29, 2025; Accepted: Jan 30, 2026

Published Online: Mar 25, 2026

ABSTRACT

Betung bamboo (Dendrocalamus asper) is a promising material with high economic value due to its fast-growing and high mechanical strength. Unfortunately, its high starch content makes it vulnerable to infestation by powderpost beetle (Dinoderus minutus), reducing its durability. This study aims to analyze the natural durability of betung bamboo against powderpost beetle attacks by evaluating its starch content, differences in stem position, and the effectiveness of boiling and dry heating treatment. Samples from the bottom, middle, and top sections of betung bamboo aged 3–4 years were subjected to starch content analysis with the Anthrone method. Starch reduction was carried out by boiling the samples in hot water, followed by dry heating in a temperature-controlled oven for 2–6 hours, while the resistance test was conducted by exposing the samples to powderpost beetle colonies for three months. The results revealed that the starch content was strongly influenced by stem position, with the middle section showing the highest value. The boiling and dry heating treatment effectively reduced the starch content by up to 21% and increased resistance to beetle attacks, resulting in a 2%–6% weight loss reduction. These findings show that starch content influences bamboo resistance, and the significant reduction in weight loss (p < 0.05) reflects a meaningful improvement in durability according to classification standards. Furthermore, boiling bamboo can be recommended as an environmentally friendly and simple method for small-scale industries to extend the service life of bamboo.

Keywords: bamboo; starch content; boiling; furnace; powderpost beetle

1. INTRODUCTION

Bamboo is one of the non-timber forest products that has great potential in supporting the raw material needs of industry and society. The advantages of bamboo lie in its rapid growth, relatively short harvest cycle, and more affordable price compared to timber. In addition, its high mechanical strength in the direction parallel to the grain makes it a competitive building material, even surpassing certain types of hardwood (Chaowana, 2013; Janssen, 2000; Liese, 1998; Rofii et al., 2024).

Betung bamboo (Dendrocalamus asper) is a giant, tropical bamboo native to Southeast Asia with a high economic value. Due to its excellent properties, it has been extensively used as heavy construction materials, crafts, furniture, and engineered bamboo composite applications (Sharma et al., 2025; Sumardi et al., 2022). Unfortunately, it is susceptible to destructive insect attack, such as drywood termites (Cryptotermes cynocephalus) and powderpost beetles (Dinoderus minutus; Garcia and Morrell, 2008; Hadi et al., 2016). Drywood termites slowly feed on cellulose and hemicellulose in bamboo tissue. The damage symptoms caused by this insect were only visible after the bamboo tissue was heavily degraded, making it difficult to control (Arsyad et al., 2020; Romano and Acda, 2017). Contrary to this, damage caused by powderpost beetles can be detected more rapidly. The larvae of powderpost beetles consume the starch reserves in parenchyma cells of bamboo as their primary energy source (Sadiku et al., 2021; Yeasmin et al., 2015). Therefore, high starch content in bamboo can indicate a low natural durability (Nugroho and Ando, 2001).

Anatomically, vascular bundles and parenchymal ground tissue are the main components of bamboo culms. Vascular bundles play a crucial role as conducting tissue (metaxylem and phloem) and strengthening (fiber bundles), while parenchymal ground tissue serves as food storage. Both tend to be unevenly distributed axially and radially (Darwis and Iswanto, 2018; Darwis et al., 2018, 2020, 2023), thus affecting the basic characteristics of bamboo culms, such as their physical and mechanical properties, and natural durability. The distribution of starch in bamboo stems is uneven. The bottom of the stem has a higher starch content than the middle and top. Similarly, young-age bamboo culms (1–2 years old) tends to have a higher starch content than mature-stage culms (3–4 years old), because the parenchyma cells of young bamboo still function as energy reserves (Garcia and Morrell, 2008; Parameswaran and Liese, 1976). For this reason, young bamboo culms are more susceptible to powderpost beetle attack. The starch content of bamboo is closely related to its resistance to pest infestation, as reported by Garcia and Morrell (2008), who demonstrated that starch stored in parenchyma cells determines the intensity of powderpost beetle attack. Meanwhile, Hadi et al. (2016) showed that certain chemical treatments can reduce starch content and enhance bamboo resistance. However, studies establishing a quantitative relationship between bamboo starch content and natural resistance to powderpost beetles remain limited.

This study aims to analyze the effect of boiling and heating on starch content in different sections of betung bamboo (D. asper) culms and to evaluate its correlation with resistance to powderpost beetle (D. minutus) attack. The results of this study can contribute to the development of a simple, environmentally friendly, and applicable bamboo-processing technology for the community and small-scale industries.

2. MATERIALS and METHODS

2.1. Experimental design and sampling

The experiment was designed as a factorial arrangement with treatment type and culm section as fixed factors, as illustrated in Fig. 1. Bamboo culms (3–4 years old) were divided into three sections (bottom, middle, and top) and subjected to three treatment conditions: untreated control, boiling, and dry heating (oven). Following treatment, samples from each treatment–section combination were allocated into two independent sets, one for starch content analysis and the other for durability testing against powderpost beetles. For each combination, three independent biological replicates (n = 3) were prepared, with each experimental unit consisting of one bamboo strip or powder sample derived from an individual culm section. This experimental design and replication scheme were applied consistently across all analyses to ensure comparability and reproducibility.

wood-54-2-202-g1
Fig. 1. Schematic illustration of the bamboo samples and analytical procedures.
Download Original Figure
2.2. Materials

The main material used in this study was betung bamboo (D. asper) aged 3–4 years old, obtained from Tanjungsari, Sumedang, West Java, Indonesia. Each bamboo stem was 12 m long, cut into 2 m culms, and grouped into three sections: bottom, middle, and top. A bamboo strip was cut from each culm with dimensions of 20 cm long, 5 cm wide, and with a thickness corresponding to the thickness of the bamboo. Each bamboo strip was subjected to starch content testing, boiling, furnace testing, and powderpost beetle attack testing.

2.3. Methods
2.3.1. Starch content analysis

The starch test sample was performed on bamboo culms that were chopped into small pieces of bamboo chips and ground into powder. The powdered sample was sieved, and samples that passed through a 40-mesh sieve but were retained on a 60-mesh sieve were used for further analysis. Sieved powder bamboo samples weighing 0.1 g were subjected to a starch content test using the Anthrone method. Samples were homogenized in hot 80% alcohol (soaked in an oven at 70°C) using a 15 mL Falcon tube for 1 hour to remove free sugars. Samples were centrifuged using an Eppendorf Centrifuge 5804 R at 5,000 rpm for 10 minutes, and the pellet was stored. The washing step was repeated twice or more until the washings were colorless (clear). The washing time could be less than 1 hour if the sample solution began to show a bright yellow to clear color.

The obtained pellet was removed and dried using a B-One oven at 105°C for 1 hour. Then, 6.5 mL of 52% perchloric acid and 5 mL of distilled water were added. The mixture was left at room temperature for 20 minutes and centrifuged at 2,697 ×g for 10 minutes. The obtained supernatant was stored. To maximize extraction yield, the extraction was then repeated three times. All supernatants were centrifuged and collected into a 100 mL Erlenmeyer flask, and distilled water was added until the mixture reached 100 mL in volume. Supernatant (0.1 mL) was transferred into a reaction tube and diluted with distilled water until it reached 1 mL volume. Anthrone reagent (4 mL) was added to the mixture, then it was homogenized with a vortex. The absorbance of the mixture was read with a spectrophotometer at 630 nm wavelength. The glucose content of the sample was calculated based on the following equation:

x = y c m
(1)

where x is dissolved glucose concentration (μg/mL), y is the sample absorbance value, and m is the slope or gradient of the standard curve. The percent starch content was then calculated based on the following equation:

Starch ( % ) = Glucose concentration × ( μ g m L ) × Extract volume ( mL ) × Conversion factor  ( 0.9 ) × 100 Dry weight of sample  ( mg ) × 1 , 000
(2)

For each treatment condition and culm section, separate but identically treated sample sets were prepared for starch content analysis and durability testing. Although the samples originated from the same treatment groups and age class, independent subsamples were used for each analysis to avoid interference between chemical determination and biological testing.

2.3.2. Boiling and dry heating (oven) treatment

Boiling and dry heating tests were conducted on bamboo strips, which were immersed in water at 100°C for 2, 4, and 6 hours. Boiling at this temperature has been widely reported to promote starch gelatinization and leaching from parenchyma tissues without causing significant structural damage to bamboo (Rawat et al., 2016; Santhoshkumar and Bhat, 2014). After boiling, the samples were dried at 60°C until their weight to minimize moisture-related variability. For the dry heating treatment, the samples were heated in a furnace oven at 180°C for 2, 4, and 6 hours, a temperature range commonly applied to induce thermal modification of carbohydrate components and improve biological durability while preserving mechanical integrity (de Oliveira et al., 2025; Li et al., 2022a; Sumardi et al., 2024). Each sample was conditioned for 3 days, pulverized, and then tested for starch content using the Anthrone method.

2.3.3. Durability test against powderpost beetle

The bamboo durability test against powderpost beetle (D. minutus) attack was conducted following the general procedure described by Febrianto et al. (2014), with additional details provided below. Bamboo strips (2.5 cm in width × 4 cm in height) were prepared from the bottom, middle, and top sections of each culm. All samples were oven-dried at 105°C for 24 hours to determine the initial dry weight (W0). Powderpost beetle colonies were obtained through laboratory breeding. Infested bamboo pieces were placed in closed containers and maintained under dark conditions with limited air circulation and high relative humidity at an ambient laboratory temperature of 27 ± 2°C to promote beetle development. After an incubation period of approximately 3 months, active adult beetles were collected for the durability test (Fig. 2).

wood-54-2-202-g2
Fig. 2. Incubation of bamboo samples for three months in containers with beetles: bamboo samples arranged in containers with powder beetles–infested bamboo (a); and containers covered with iron plates to create dark conditions (b).
Download Original Figure

For the exposure test, separate test boxes were prepared for each treatment. Each box contained bamboo samples along with infested bamboo pieces serving as a continuous food source to maintain beetle activity. Adult beetles were allowed to freely infest the test samples through direct contact under controlled laboratory conditions. The containers were covered with light-proof lids that permitted air exchange and incubated at 27 ± 2°C for 3 months to allow beetle attack to occur. After incubation, the samples were removed, cleaned of debris and insects, and used for subsequent mass loss determination and damage quantification.

The calculation of weight loss (WL) was done using the following equation:

WL = W 0 W 1 W 0 × 100 %
(3)

Sample WL is defined as the percent ratio of WL for each sample (%). Meanwhile, W0 and W1 are the dry weight of the bamboo samples before and after testing, respectively.

2.3.4. Quantification of damage

After incubation, damaged samples were inspected and were further photographed to be analyzed with ImageJ software. All affected surface of damaged samples were carefully documented with a reference scale. Then, ImageJ was used to analyze the images. The image scale was calibrated using the reference scale in the image to convert pixel units into real measurement units. Next, the damaged areas in the form of attack holes were selectively marked using selection tools in ImageJ.

After all damaged areas were identified, the damaged surface area was calculated, and the total damage area was obtained by summing all detected damage. The total area of the analyzed sample and the overall sample surface area were also measured using a square selection tool. These steps are repeated for each bamboo sample, and all measurement data and analyzed images were systematically documented in ImageJ (Fig. 3). The percentage of damage area was calculated using the following formula:

wood-54-2-202-g3
Fig. 3. Visual appearance of damaged bamboo (a) and quantification of the damaged area using ImageJ (b).
Download Original Figure
Damage area ( % ) = Area of damage Total area of sample × 100 %
(4)
2.4. Data analysis

Data were analyzed using analysis of variance (ANOVA) at the 95% confidence level (p ≤ 0.05) using IBM SPSS 26 software. Significant results were subjected to Duncan’s post hoc test to determine the differences between treatments (Steel et al., 1997).

3. RESULTS and DISCUSSION

3.1. Starch content

The results indicated that, for the bamboo samples investigated in this study, the starch content in the control group as well as in both treatments (boiling and furnace heating) tended to be higher in the middle section of the culm (Table 1). The bottom section of the control bamboo stem had lower starch content (8.25%) than the middle (11.14%) and top (9.17%). However, this distribution pattern should not be considered universal, as starch content along bamboo culms may vary depending on species, age, growth conditions, and physiological factors.

Table 1. Percent starch content (mean ± SD) of different bamboo culm sections after boiling and heating treatments
Treatments Time (hours) Percent starch content at different culm sections
Bottom Middle Top
Boiling 2 7.62 ± 0.30 10.88 ± 0.47 8.33 ± 0.46
4 7.31 ± 0.33 7.79 ± 0.84 7.95 ± 0.42
6 7.50 ± 0.22 7.55 ± 0.19 7.12 ± 1.00
Heating at 180°C 2 7.33 ± 0.20 9.23 ± 0.46 8.95 ± 0.66
4 7.01 ± 1.84 8.64 ± 0.56 8.58 ± 0.41
6 6.28 ± 1.47 7.96 ± 0.46 8.27 ± 1.17
Control 8.25 ± 0.31a 11.14 ± 0.35b 9.17 ± 0.32b

Letters indicate significant differences in statistical analysis.

Download Excel Table

The higher starch content observed in the middle section may be attributed to its reported role as a major carbohydrate transport zone in bamboo culms, as described in previous studies (Loiwatu and Manuhuwa, 2014). The metabolic activity of the parenchyma tissue in this section is also higher, resulting in optimal starch accumulation (Zhang et al., 2021). Anatomically, the middle part of the stem has a larger proportion of starch-storing parenchyma tissue than the lower part, which has undergone lignification (He et al., 2002). The larger parenchyma in the middle stem provides greater space for carbohydrate storage. Indeed, a study by Dong and Beckles (2019) found that the monocot stem distributes starch from the source (leaves) to the sink (roots), with several storage nodes in between (middle stem).

The bottom section acts as a structural support for bamboo plants. According to previous studies, this part of the bamboo stem is characterized by harder tissues with higher lignin content, which may limit its starch storage capacity (Zhang et al., 2018). This section has also been reported to exhibit a lower respiration rate associated with meristematic tissue activity (Uchida et al., 2022); however, lignin content, density, and respiration rate were not directly measured in the present study. The bamboo top section also showed lower starch content as photosynthetic products are utilized for growing new cells and respiration (Taiz et al., 2018; Zhang et al., 2021). A study by Zhang et al. (2021) in bamboo Gigantochloa apus also showed low starch content in the shoot section due to rapid primary growth. The observed differences in starch content among bamboo sections are presumed to be related to variations in physiological tissue function, lignification level, and metabolic activity across stem sections.

The distribution of starch was significantly affected by the culm position in the stem and the boiling/heating treatment (Table 2). The post hoc Duncan’s multiple range test showed significant difference in reduction (delta control with treatment) for treatment time 4 and 6 hours compared to 2 hours. Fig. 4(a) shows that starch content decreased progressively with increasing treatment duration for both boiling and dry heating. The greatest reduction was observed after 6 hours of treatment, and the differences among treatment durations were statistically significant (p ≤ 0.05). Similarly, bottom culm section showed significant differences with the middle and top sections as illustrated in Fig. 4(b), starch reduction differed significantly among culm sections, with the bottom section exhibiting a greater reduction compared to the middle and top sections (p ≤ 0.05). These findings are in line with previous studies (Britannica, 2026; do Amaral et al., 2023) which reported that water-soluble starch can diffuse into the boiling medium, particularly under continuous water flow conditions.

Table 2. Effects of treatment (boiling and heating), treatment time, and culm position on bamboo starch content as analyzed by Type III analysis of variance (ANOVA) at a 95% confidence interval (CI)
Parameters tested Type III sum of squares df Mean square F-value Sig.
Corrected model 54.976a 17 3.234 4.858 0.000
Intercept 3,463.204 1 3,463.204 5,202.36 0.000
Treatment (A) 0.022 1 0.022 0.033 0.857
Time (B)* 16.263 2 8.131 12.215 0.000
Culm position (C)* 23.615 2 11.808 17.737 0.000
A × B 1.567 2 0.784 1.177 0.320
A × C 4.106 2 2.053 3.084 0.058
B × C 5.526 4 1.381 2.075 0.104
A × B × C 3.878 4 0.969 1.456 0.236
Error 23.965 36 0.666
Total 3,542.145 54

R Squared = 0.797 (Adjusted R Squared = 0.701).

Significant effect on starch content (p < 0.05).

Download Excel Table
wood-54-2-202-g4
Fig. 4. Changes in starch content from control bamboo samples to treated samples at different treatment times (a) and culm positions (b). a,b Letters indicate significant differences in the statistical analysis.
Download Original Figure

Thermal treatment has been shown to reduce starch content significantly. Meanwhile, boiling treatment triggers gelatinization, a process in which starch granules absorb water, expand, and break down, releasing polysaccharides (amylose/amylopectin) and becoming more soluble (Lee et al., 2018; Suri et al., 2025). Because bamboo starch granules are in the lumen of thin-walled parenchyma cells, hot water can enter, soften the cell walls, and facilitate the migration of starch out of the tissue. Felisberto et al. (2019) reported that bamboo starch granules are several micrometers in size and are relatively susceptible to morphological disruption at high temperatures. This condition is consistent with our findings, in which starch content decreased by up to 21% from the control in the 6 hours treatment. After long-duration treatment (4–6 hours), the percentage of starch reduction decreased to 18%–21% [Fig. 4(a)].

Meanwhile, the greatest starch content reduction of 21% occurred at the bottom [Fig. 4(b)] possibly because this section has larger vascular channels, thicker parenchyma cell walls, and larger lumens (Yeasmin et al., 2015). Secondly, the bottom usually has a relatively higher initial water content than the top at harvest. This residual water can accelerate heat diffusion and enhance the thermal effect of ‘internal boiling’ during furnace drying (Wang et al., 2020).

The mechanism involved in dry heating with a furnace is different. Without water as a medium, starch does not readily dissolve; instead, it may undergo thermal degradation and depolymerization, potentially involving transformation into dextrin and small soluble sugars through processes such as partial caramelization and Maillard reactions, as reported in previous studies (González et al., 2021; Suri et al., 2025). As a result, some of the starch fractions are no longer detected as ‘whole starch’ in gravimetric measurements, suggesting that prolonged dry heating at 180°C may alter the internal starch structure of bamboo. In addition, thermal treatment has been reported to have the potential to inactivate endogenous enzymes, which normally mobilizes starch into simple sugars during the bamboo’s life phase or early post-harvest (Hao et al., 2021). Inactivation of these enzymes can slow down further biochemical changes after harvest. In other words, after heating, bamboo may contain less available starch and exhibit reduced biological activity, which may contribute to improved storage stability. It should be noted that the thermal-induced chemical and enzymatic changes discussed in this study were not directly confirmed by chemical characterization and are therefore presented as potential mechanisms inferred from previous literature. Accordingly, future studies incorporating direct measurements of bamboo density, lignin content, and relevant physiological parameters are recommended to better elucidate their roles in bamboo durability.

3.2. Bamboo resistance to powderpost beetle attacks

The results of bamboo resistance tests against powderpost beetles showed that WL was influenced by starch content. Fig. 5 indicates that WL due to powderpost beetle attack was lowest in the bottom section and highest in the top section across all treatments. Both boiling and dry heating resulted in reduced WL compared to the control, with longer treatment durations generally showing lower damage levels. The control samples lost an average weight of 8.03% at the top section, 5.01% at the middle, and 3.47% at the bottom. Both boiling and furnace treatment resulted in a relatively constant decrease in damage over the duration of boiling/furnace treatment. From a practical perspective, a reduction of 2%–6% in WL is considered meaningful, as even small decreases in mass loss can significantly extend the service life of bamboo products, reduce the frequency of replacement, and improve performance in applications where biological durability is a limiting factor, such as light construction, housing components, and craft products.

wood-54-2-202-g5
Fig. 5. Weight loss of bamboo samples due to powderpost beetle infestation. a–c Letters indicate control values of the bottom, middle, and top bamboo culm sections, respectively.
Download Original Figure

The WL due to powderpost beetle attacks during boiling was higher than that during furnace heating, indicating that the beetles prefer bamboo samples with high starch content. The high starch content in bamboo, especially at the top of the stem, positively correlated with high powderpost beetle attack. Conversely, low starch content at the bottom of the stem makes it more resistant. This indicates that starch is one of the determining factors of bamboo’s natural durability.

A simple boiling process is quite effective in reducing starch content. Treatment for 4–6 hours can be applied on a small industrial scale, as it can increase bamboo durability from low durability category to moderately durable, according to the SNI 01-7207-2006 (Indonesian National Standard, 2006). Other studies (Felisberto et al., 2019; Putri and Dewi, 2020) also reported that starch components, particularly amylose and amylopectin, are the main energy source for bamboo-damaging insects.

Starch and soluble sugars are the main nutrient sources for bamboo-boring insects such as D. minutus and for early decay fungi (Okahisa et al., 2006). Therefore, traditional bamboo preservation strategies often target starch reduction rather than using toxic chemicals directly (Liese and Köhl, 2015). The results of this study reinforce this approach since boiling bamboo for 6 hours significantly reduced starch content, and furnace treatment for 6 hours produced similar results. With up to 21% less starch than the control, it is expected that the colonization rate of destructive organisms will decrease due to reduced readily available metabolic energy (Romano and Acda, 2017).

In addition to reducing food availability, heat treatment also alters the internal structure of bamboo. Thermal treatment degrades some of the hemicellulose and reduces hygroscopicity, making bamboo slightly more moisture-resistant and less prone to absorbing water from the environment (Li et al., 2022b). From a materials engineering application perspective, the boiling process can be followed by a heating process, where boiling is performed first (to dissolve starch and sugars), followed by furnace/dry heating (to stabilize dimensions and reduce moisture content and biological activity of residues). Field studies show that boiled and heat-dried bamboo has a longer service life in light structural applications, such as traditional roof trusses, woven walls, or bamboo-laminate composite panels (Li et al., 2022a).

3.3. Attack rate of powderpost beetle

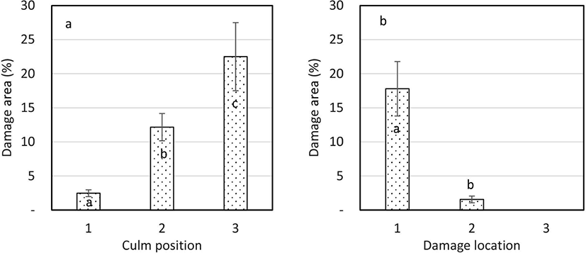
The position of the stem greatly affects the susceptibility of bamboo to pests such as powderpost beetles, as starch content varies across stem sections. Fig. 6 shows that powderpost beetle damage was more pronounced in the inner and middle regions of the bamboo culm compared to the outer region after 3 months of exposure.

wood-54-2-202-g6
Fig. 6. Appearance of bamboo damage at different culm sections (bottom, middle, and top) and radial positions within the culm wall: outer (1), middle (2), and inner (3).
Download Original Figure

The attack pattern of powderpost beetles on bamboo showed a strong correlation with the distribution of starch content in the stem. In line with previous research findings by Bhat et al. (2005) on the species Bambusa bambos and Watanabe et al. (2015), damage caused by borers (another term for powderpost beetles that bore holes in wood) tends to be more intense on the inner wall of the stem. The microscopic analysis in those studies also showed intensive damage to the inner side of the stem and significant starch concentration in the parenchyma cells in that area, while the stem fibres (outer) are relatively free of starch.

The behavior of the powderpost beetle, which chose the inner stem part with more starch, suggests selective feeding (Loiwatu and Manuhuwa, 2014). Powderpost beetles rely on sufficient starch to have enough resources to breed and maintain their population. They selectively chose the bamboo parts with the most starch content, such as freshly cut or stored bamboo stems. The inner-middle section of bamboo comprises more parenchyma cells that function as starch storage areas, which partly explains why powderpost beetle damage occurs frequently in this area (Bhat et al., 2005).

The inner bamboo stem is also more vulnerable to powderpost beetles since it has lower density and less lignin, making it easier for the beetles to drill tunnels. Besides, this part also has a soft texture, allowing beetle larvae to move more easily and obtain nutrients from the starch-rich parenchyma tissue (Watanabe et al., 2015).

The powderpost damage analyzed from the images showed an apparent difference between bamboo culm sections and depth (Fig. 7). As shown in Fig. 7(a), the damage rate caused by powderpost beetle attack was lowest in the bottom section, followed by the middle and top sections, and the differences were statistically significant (p < 0.05). Fig. 7(b) demonstrates that beetle damage was highest in the inner region of the culm, followed by the middle and outer regions, which is consistent with the reported distribution of starch within the bamboo stem. The higher damage observed in the top culm indicates that starch content might not be the only factor influencing attack rate. This observation suggests that, in addition to starch content, factors such as bamboo density and anatomical structure may be associated with susceptibility to powderpost beetle attack, as reflected by the lower damage observed in the denser outer region.

wood-54-2-202-g7
Fig. 7. Percent damage of betung bamboo samples caused by powderpost beetle infestation at different culm sections (a) and radial positions within the bamboo (b).
Download Original Figure

4. CONCLUSIONS

Culm position was found to be associated with variations in starch content in betung bamboo, with the middle section exhibiting higher starch levels than the top and bottom sections. Differences in starch content were correlated with variations in susceptibility to powderpost beetle attack, with higher starch levels generally associated with greater damage, particularly in the inner culm region. The higher vulnerability of inner regions has been reported in the literature to be related to anatomical characteristics such as parenchyma abundance; however, these features were not directly measured in the present study. Thermal treatments, especially boiling, were effective in reducing starch content and were associated with a reduced intensity of powderpost beetle attack. While heat treatment has been reported to influence dimensional stability and post-harvest biological activity, these effects were not directly evaluated here and are therefore discussed as potential benefits based on prior studies. It should be noted that other influential factors, including bamboo density, lignin content, enzymatic activity, and detailed chemical or structural changes, were not measured and represent limitations of this work. Future studies incorporating direct measurements of these parameters are recommended. Despite these limitations, boiling treatment for 4–6 hours appears to be a practical and environmentally friendly approach that may be adopted by local communities and small- and medium-sized industries to enhance bamboo durability for construction and craft applications.

CONFLICT of INTEREST

No potential conflict of interest relevant to this article was reported.

ACKNOWLEDGMENT

We thank the Ministry of Higher Education, Science and Technology, Indonesia for providing financial support for the research by fundamental research program (FPF 2025) Decision Letter No: 015/C3/DT.05.00/PL/2025, and Contract No: 359/IT1.B07.1/SPP-DRI/V/2025.

REFERENCES

1.

Arsyad, W.O.M., Efiyanti, L., Trisatya, D.R. 2020. Termiticidal activity and chemical components of bamboo vinegar against subterranean termites under different pyrolysis temperatures. Journal of the Korean Wood Science and Technology 48(5): 641-650.

2.

Bhat, K.V., Varma, R.V., Raju, P., Pandalai, R.C., Santhoshkumar, R. 2005. Distribution of starch in the culms of Bambusa bambos (L.) Voss and its influence on borer damage. Bamboo Science and Culture 19(1): 1-4.

3.

4.

Chaowana, P. 2013. Bamboo: An alternative raw material for wood and wood-based composites. Journal of Materials Science Research 2(2): 90-102.

5.

Darwis, A., Hadiyane, A., Sulistyawati, E., Sumardi, I. 2023. Effect of vascular bundles and fiber sheaths in nodes and internodes of Gigantochloa apus bamboo strips on tensile strength. Journal of the Korean Wood Science and Technology 51(4): 309-319.

6.

Darwis, A., Iswanto, A., Jeon, W., Kim, N., Wirjosentono, B., Susilowati, A., Hartono, R. 2020. Variation of quantitative anatomical characteristics in the culm of belangke bamboo (Gigantochloa pruriens). BioResources 15(3): 6617-6626.

7.

Darwis, A., Iswanto, A.H. 2018. Morphological characteristics of Bambusa vulgaris and the distribution and shape of vascular bundles therein. Journal of the Korean Wood Science and Technology 46(4): 315-322.

8.

Darwis, A., Sumardi, I., Suhaya, Y., Sunarya, S. 2018. Characteristic of vascular bundles and morphology of Gigantochloa apus (J.A. and J.H. Schulltes) Kurz culm. Asian Journal of Plant Sciences 17(3): 129-133.

9.

de Oliveira, B.H., Alves, M.M., de Araújo Almeida, R., de Oliveira Nahime, B., de Oliveira Silva, M.V. 2025. Influência de tratamentos térmicos na durabilidade e propriedades mecânicas do bambu. Ambiente Construído 25: e135949.

10.

do Amaral, L.M., Kadivar, M., Paes, J.B., Batista, D.C., de Souza Reis, M., Tarverdi, A., de Godoy, A.L.P. Jr., Savastano, H. Jr. 2023. Physical, mechanical, chemical, and durability assessment of water leaching treatment of bamboo. Advances in Bamboo Science 5: 100040.

11.

Dong, S., Beckles, D.M. 2019. Dynamic changes in the starch-sugar interconversion within plant source and sink tissues promote a better abiotic stress response. Journal of Plant Physiology 234–235: 80-93.

12.

Febrianto, F., Gumilang, A., Maulana, S., Busyra, I., Purwaningsih, A. 2014. Keawetan alami lima jenis bambu terhadap serangan rayap dan bubuk kayu kering. Jurnal Ilmu dan Teknologi Kayu Tropis 12(2): 146-156.

13.

Felisberto, M.H.F., Beraldo, A.L., Costa, M.S., Boas, F.V., Franco, C.M.L., Clerici, M.T.P.S. 2019. Characterization of young bamboo culm starch from Dendrocalamus asper. Food Research International 124: 222-229.

14.

Garcia, C.M., Morrell, J.J. 2008. Seasonal occurrence of the powderpost beetle, Dinoderus minutus, in the Philippines. Journal of Tropical Forest Science 20(2): 139-145.

15.

González, M., Vernon-Carter, E.J., Alvarez-Ramirez, J., Carrera-Tarela, Y. 2021. Effects of dry heat treatment temperature on the structure of wheat flour and starch in vitro digestibility of bread. International Journal of Biological Macromolecules 166: 1439-1447.

16.

Hadi, Y.S., Efendi, M., Massijaya, M.Y., Pari, G., Ariana. 2016. Resistance of smoked glued laminated lumber to subterranean termite attack. Forest Products Journal 66(7-8): 480-484.

17.

Hao, X., Wang, Q., Wang, Y., Han, X., Yuan, C., Cao, Y., Lou, Z., Li, Y. 2021. The effect of oil heat treatment on biological, mechanical and physical properties of bamboo. Journal of Wood Science 67: 26.

18.

He, X.Q., Suzuki, K., Kitamura, S., Lin, J.X., Cui, K.M., Itoh, T. 2002. Toward understanding the different function of two types of parenchyma cells in bamboo culms. Plant and Cell Physiology 43(2): 186-195.

19.

Indonesian National Standard [SNI]. 2006. Testing the Resistance of Wood and Wood Products to Wood-destroying Organisms. SNI 01-7207-2006. SNI, Jakarta, Indonesia.

20.

Janssen, J.J. 2000. Designing and Building with Bamboo. International Bamboo and Rattan Organization, Eindhoven, The Netherlands.

21.

Lee, C.H., Yang, T.H., Cheng, Y.W., Lee, C.J. 2018. Effects of thermal modification on the surface and chemical properties of moso bamboo. Construction and Building Materials 178: 59-71.

22.

Li, X., Peng, H., Niu, S., Liu, X., Li, Y. 2022a. Effect of high-temperature hydrothermal treatment on chemical, mechanical, physical, and surface properties of moso bamboo. Forests 13(5): 712.

23.

Li, Z.Z., Luan, Y., Hu, J.B., Fang, C.H. 2022b. Bamboo heat treatments and their effects on bamboo properties. Construction and Building Materials 331: 127320.

24.

Liese, W. 1998. The Anatomy of Bamboo Culms. INBAR Technical Report No. 18. International Bamboo and Rattan Organization, Beijing, China.

25.

Liese, W., Köhl, M. 2015. Bamboo: The Plant and its Uses. Springer, Cham, Switzerland.

26.

Loiwatu, M., Manuhuwa, E. 2014. Komponen kimia dan anatomi tiga jenis bambu dari Seram, Maluku. Agritech 28(2): 76-83.

27.

Nugroho, N., Ando, N. 2001. Development of structural composite products made from bamboo II: Fundamental properties of laminated bamboo lumber. Journal of Wood Science 47(3): 237-242.

28.

Okahisa, Y., Yoshimura, T., Imamura, Y. 2006. Seasonal and height-dependent fluctuation of starch and free glucose contents in moso bamboo (Phyllostachys pubescens) and its relation to attack by termites and decay fungi. Journal of Wood Science 52(5): 445-451.

29.

Parameswaran, N., Liese, W. 1976. On the fine structure of bamboo fibres. Wood Science and Technology 10(4): 231-246.

30.

Putri, A.H., Dewi, O.C. 2020. Overview of bamboo preservation methods for construction use in hot humid climate. International Journal of Built Environment and Scientific Research 4(1): 1-10.

31.

Rawat, K., Sharma, V., Saini, N., Nirmala, C., Bisht, M.S. 2016. Impact of different boiling and soaking treatments on the release and retention of antinutrients and nutrients from the edible shoots of three bamboo species. American Journal of Food Science and Nutrition Research 3(3): 31-41.

32.

Rofii, M.N., Mairing, M.J., Listyanto, T., Sumardi, I., Hartono, R. 2024. Physical and mechanical properties of laminated board from betung bamboo (Dendrocalamus asper). Journal of the Korean Wood Science and Technology 52(4): 383-392.

33.

Romano, A.D., Acda, M.N. 2017. Feeding preference of the drywood termite Cryptotermes cynocephalus (Kalotermitidae) against industrial tree plantation species in the Philippines. Journal of Asia-Pacific Entomology 20(4): 1161-1164.

34.

Sadiku, N.A., Bada, O.S., Oluyege, A.O., Ajayi, B. 2021. Natural resistance of Bambusa vulgaris to termite and powder-post beetle attack. Journal of Tropical Forest Science 33(4): 398-405.

35.

Santhoshkumar, R., Bhat, K.V. 2014. Various changes of starch content in the culms of selected bamboo species, Bambusa bambos (L.) Voss and Dendrocalamus strictus Ness at different storage methods. The Journal of Indian Botanical Society 93(1 & 2): 82-86.

36.

Sharma, B., Gatoo, A., Bock, M., Ramage, M. 2015. Engineered bamboo for structural applications. Construction and Building Materials 81: 66-73.

37.

Steel, R.G.D., Torrie, J.H., Dickey, D.A. 1997. Principles and Procedures of Statistics: A Biometrical Approach. 3rd ed. McGraw-Hill, New York, NY, USA.

38.

Sumardi, I., Alamsyah, E.M., Suhaya, Y., Dungani, R., Sulastiningsih, I.M., Pramestie, S.R. 2022. Development of bamboo zephyr composite and the physical and mechanical properties. Journal of the Korean Wood Science and Technology 50(2): 134-147.

39.

Sumardi, I., Daru, A.K.D., Rumidatul, A., Dungani, R., Suhaya, Y., Prihanto, N., Hartono, R. 2024. Drying efficiency of betung bamboo strips (Dendrocalamus asper) based on different solar drying oven designs. Journal of the Korean Wood Science and Technology 52(1): 1-12.

40.

Suri, I.F., Hidayat, W., Febryano, I.G. 2025. Thermal modification of bamboo: Effects on physical, mechanical, and chemical properties. Jurnal Belantara 8(2): 185-194.

41.

Taiz, L., Zeiger, E., Møller, I.M., Murphy, A.S. 2018. Plant Physiology and Development. 6th ed. Sinauer Associates, Oxford, UK.

42.

Uchida, E.M., Katayama, A., Yasuda, Y., Enoki, T., Otsuki, K., Koga, S., Utsumi, Y. 2022. Age-related changes in culm respiration of Phyllostachys pubescens culms with their anatomical and morphological traits. Frontiers in Forests and Global Change 5: 868732.

43.

Wang, Q., Wu, X., Yuan, C., Lou, Z., Li, Y. 2020. Effect of saturated steam heat treatment on physical and chemical properties of bamboo. Molecules 25(8): 1999.

44.

Watanabe, H., Yanase, Y., Fujii, Y. 2015. Evaluation of larval growth process and bamboo consumption of the bamboo powder-post beetle Dinoderus minutus using X-ray computed tomography. Journal of Wood Science 61(2): 171-177.

45.

Yeasmin, L., Ali, M.N., Gantait, S., Chakraborty, S. 2015. Bamboo: An overview on its genetic diversity and characterization. Biotech 5(1): 1-11.

46.

Zhang, H., Ying, Y., Wang, J., Zhao, X., Zeng, W., Beahan, C., He, J., Chen, X., Bacic, A., Song, L., Wu, A. 2018. Transcriptome analysis provides insights into xylogenesis formation in moso bamboo (Phyllostachys edulis) shoot. Scientific Reports 8(1): 3951.

47.

Zhang, J., Ma, R., Ding, X., Huang, M., Shen, K., Zhao, S., Xiao, Z., Xiu, C. 2021. Association among starch storage, metabolism, related genes and growth of moso bamboo (Phyllostachys heterocycla) shoots. BMC Plant Biology 21(1): 477.