Journal of the Korean Wood Science and Technology
The Korean Society of Wood Science & Technology
Original Article

Impact of Density and Porosity on the Sound Absorption of Binder-Free Aggregated Rice Husk

Sorasak DANWORAPHONG1, Thammarong EADKHONG2,https://orcid.org/0000-0002-6029-7067
1Institute of Music, Science and Engineering, King Mongkut's Institute of Technology Ladkrabang, Bangkok 10520, Thailand
2Department of Physics, Walailak University, Nakhon Si Thammarat 80160, Thailand
Corresponding author: Thammarong EADKHONG (e-mail: Thammarong.ea@mail.wu.ac.th)

Copyright 2024 The Korean Society of Wood Science & Technology. This is an Open-Access article distributed under the terms of the Creative Commons Attribution Non-Commercial License (http://creativecommons.org/licenses/by-nc/4.0/) which permits unrestricted non-commercial use, distribution, and reproduction in any medium, provided the original work is properly cited.

Received: Mar 19, 2025; Revised: May 17, 2025; Accepted: Jul 01, 2025

Published Online: Nov 25, 2025

ABSTRACT

This study explores the use of binder-free rice-husk aggregates, a widely available agricultural byproduct, as a sustainable alternative for sound absorption in building applications. We assessed the material’s efficacy by conducting experiments using cylindrical housings that were filled with rice husk aggregate. The aggregates were then tested in an impedance tube according to the ASTM E1050 standards in the frequency range of 400 to 6,000 Hz. The porosity was measured using an air pycnometer. The resulting average sound absorption coefficient (αavg) was modeled in terms of the porosity and the density with quadratic equations. Thus, if either property is known, αavg can be predicted. The highest recorded value of αavg was 0.81. This study underscores the environmental and practical advantages of using binder-free rice husk, especially given its local availability and the absence of binders. The findings also open avenues for sustainable construction materials and could contribute to eco-friendly noise-control applications.

Keywords: rice husk; sound absorption coefficient; density; porosity

1. INTRODUCTION

The search for sustainable alternatives to synthetic materials has increased significantly in recent years due to environmental concerns and the need for effective noise-control solutions. Natural fibers have emerged as a promising solution that offers acoustic effectiveness and environmental friendliness. Unlike synthetic materials, such as glass wool or mineral fibers, natural fibers are often derived from agricultural byproducts, which decreases their ecological impact.

Studies have investigated various natural fibers for their sound-absorption properties and have demonstrated their versatility and effectiveness (Jang, 2023). For instance, tealeaf fiber, a byproduct of tea processing, was studied for its acoustic absorption capabilities (António et al., 2018; Ersoy and Küçük, 2009). Studies have examined the dry leaves of Dendropanax morbiferus and Fatsia japonica and revealed that their size and thickness affect their sound-absorption performance (Jung et al., 2021). Corn husk has demonstrated impressive sound-absorption properties, particularly for low-frequency sounds, which is due to its multi-layered structure (da Silva et al., 2019; Tang et al., 2018).

Pineapple leaf fibers show comparable performance to polyurethane foam in acoustic tests (Putra et al., 2018). Peanut shells were found to match or exceed the absorption properties of materials like bamboo, sisal, jute, and wool (Jang, 2022a), and water hyacinth has shown improved performance with increased thickness and air-gap depth (Ullaprom et al., 2025). These findings align with established relationships between fiber characteristics (diameter, length, thickness, and density) and acoustic performance (Kalasee et al., 2025; Rusli et al., 2019), where finer fibers consistently outperform coarser ones.

Rice husk stands out among natural fibers as a particularly promising candidate for acoustic applications due to its high porosity, uniform and fine fiber structure, and high silica content, which enhances its durability and pest resistance (Chen et al., 2017; Glé et al., 2013; Lee et al., 2021; Massey and Hartley, 2009). These inherent properties can be improved further through treatments with fire retardants or chemical stabilization (Kenned et al., 2021; Sahayaraj et al., 2024), and they can be applied in composites, which demonstrate enhanced sound absorption with higher husk content, as well as improved mechanical performance as the density is increased (Hwang and Oh, 2021; Marques et al., 2020; Wang et al., 2018). The sound absorption of ceramics can be enhanced by adding chaff particles, which were broken rice-husk fragments with dimensions of < 5 mm. This improvement peaks at 10–15 wt.% chaff loading before plateauing at higher concentrations (Hwang and Oh, 2024).

In addition to its acoustic properties, rice husk offers environmental advantages, including low global-warming potential and minimal processing requirements (Buratti et al., 2018). Thailand is the world’s second-largest rice exporter and produces over 30 million tons of paddy annually, yielding approximately 6 million tons of rice husk (20% by volume; USDA Foreign Agricultural Service, 2024). Over 95% of this byproduct is currently used in low-value applications, such as fertilizer and animal feed, but its potential as a sustainable sound-absorbing material remains largely untapped, particularly in binder-free configurations that leverage its natural porosity.

Key factors that influence sound absorption include porosity, flow resistivity, density, and tortuosity, which are interconnected. Studies have demonstrated varying relationships between density and the sound absorption coefficient (SAC). Generally, the SAC of wood increases with higher density (Sakamoto et al., 2011; Smardzewski et al., 2014), but cubes of Hinoki cypress wood achieve noise reduction through porosity (Jang, 2022c), while radiata pine-wood pellets achieve reduction through density (Jang, 2022b). The porous ring structure of Acanthopanax senticosus is responsible for its sound-absorption properties (Jang, 2022d). Natural-fiber composite boards exhibit density-dependent SAC (Kalasee et al., 2023), whereas wood-textile composites with ecological binders show reduced SAC at higher densities (Curtu et al., 2012). Fiber properties (Cao et al., 2018) and pore structure modification are critical properties for optimization of the performance.

Rice-husk composites have been widely studied, but their sound-absorption capabilities in aggregated configurations have been unexplored. Therefore, we investigated the sound-absorbing properties of unbounded rice-husk aggregates with a focus on the relationship between the average SAC (αavg), bulk density (ρ), and apparent porosity (φ). Two empirical models were developed to predict αavg from either ρ or φ. The findings could enhance our understanding of natural-fiber acoustics and support their sustainable application in noise-control applications.

2. MATERIALS and METHODS

2.1. Preparation of rice-husk samples

Rice husks were sourced from Pathum Thani 1 aromatic rice (a variety of Thai jasmine rice), which was processed during the November 2023 harvest at a single mill in Nakhon Si Thammarat, Southern Thailand (8°25'N, 99°58'E). To ensure material consistency, the husks were stored in breathable polypropylene containers at 25°C and 30 ± 5% relative humidity before processing. We implemented strict quality control by discarding wet or excessively moist husks, sieving out fine particulate matter (< 1-mm mesh size), and removing visibly damaged or contaminated husks. The remaining husks were of mixed size ranging from 1 to 10 mm.

Rice husk is the robust outer layer that protects rice grains and are typically removed during milling after the rice paddy has been dried. Drying can be done either under sunlight or in a temperature-controlled oven to reduce the moisture content to 14%, as recommended by the Division of Rice Research and Development of Thailand. The rice-husk samples were processed using the sun-drying method for this study. They were later reheated in a temperature-regulated oven at 50°C for 30 minutes to ensure the elimination of any remaining moisture content. The samples were then allowed to cool to room temperature (25°C) and left for one week to reach equilibrium before measuring their moisture content, which was determined to be 12%.

Fig. 1(a) and (b) show an image of a rice-husk sample and an optical image at 10 × magnification. The anatomy of a husk can also be seen in Fig. 1(a). A rice husk is a hierarchical assembly of hollow fibers that contain cellulose, hemicellulose, and lignin, as well as potential pectin content and substantial quantities of silica (Chen et al., 2017). We divided the samples into two groups. The first group consisted of five different densities with three samples for each density, which were used to determine the SAC. The second group was used to validate the resulting models and comprised three samples of varying densities: medium, near-low, and high.

wood-53-6-599-g1
Fig. 1. Anatomical structure of a rice husk. (a) Identified parts of a rice husk, including a bristle- like structure at the top and a short stem at the bottom, which correspond to the lemma and palea, respectively. (b) An optical image of aggregated rice husks depicting the intricate texture.
Download Original Figure

The husk aggregates were used to fill cylindrical sample housings, which were made from metal mesh (mesh size: 1.78 × 2.12 mm2) and wrapped with thin plastic film to contain the husks. The housings had one of two diameters, 29.5 and 59.5 mm, and a uniform length of 50.0 mm, as shown in Fig. 2. The samples were compressed using a piston at pressures ranging from 0 to 54 kPa to achieve specific target densities of 182.9, 219.6, 256.2, 292.8, and 329.4 kg/m3. The metal-wire casing maintained a constant diameter and prevented the rice husks from clumping with low density. We applied even pressure to minimize the risk of uneven distribution due to gravity.

wood-53-6-599-g2
Fig. 2. Husk-filled housings of different diameters (29.5 mm and 59.5 mm) for high- and low-frequency measurements, respectively. Their thickness was kept constant at 50.0 mm.
Download Original Figure
2.2. Apparent porosity

The apparent porosity is an important property that affects the acoustic absorption of a material (Attenborough, 1982). Numerous theoretical models include porosity as a fundamental parameter for predicting the sound absorption of materials (Champoux and Allard, 1991; Johnson et al., 1987; Oliva and Hongisto, 2013). The apparent porosity of a material is defined as the ratio of the apparent pore volume to the total bulk volume (Jock et al., 2013), given by

φ =   V p V t   =   V t     V s V t
(1)

Here, φ, Vp, Vt, and Vs denote the apparent porosity, pore volume, bulk volume, and solid volume, respectively. To determine the porosity of the samples, it is necessary to calculate the pore volume, which is the difference between the bulk and solid volumes. The bulk volume was evaluated by physical measurement using a vernier caliper, while the solid volume was determined using an air pycnometer (Eadkhong and Danworaphong, 2021).

The pycnometer consists of a sample chamber (sample) and a reference chamber (ref) that are connected by a valve. The initial volume ratio, τ, is defined as the ratio of the reference chamber volume (Vref) to the sample chamber volume (Vsample). The reference chamber is maintained at 15 kPa with the connecting valve closed, whereas the sample chamber is initially open to the surroundings. A sample is placed in the sample chamber, which is then sealed with a lid. Once the valve is opened, the pressure in the system decreases in accordance with the solid volume of the sample. The final pressure is recorded and used to find Vs using τ.

2.3. Assessment of sound absorption coefficient (ASTM E1050)

The experimental setup is illustrated in Fig. 3. The SAC of rice husks with different densities was measured using an impedance tube (model SW466, BSWA, Beijing, China). The tube had a diameter (d) of 60 mm, which corresponds to a working frequency range of 400 to 2,500 Hz. Another tube with a diameter of 30 mm was used for frequencies of 2,500 to 6,000 Hz.

wood-53-6-599-g3
Fig. 3. Experimental setup of the impedance tube measurement system. (a) A diagram of the impedance tube system and (b) photograph of the actual system.
Download Original Figure

Before measurements, the microphones were calibrated using a CA115 sound calibrator (BSWA) to produce a sound pressure level of 114 dB at 1 kHz. Measurements were then conducted in accordance with the ASTM E1050 standard (ASTM, 2019). The microphones (Mic1 and Mic2) were positioned 45.0 mm apart (S), and the distance (L) between Mic2 and the sample was set to 40.0 mm. Estimation was done using a transfer-function technique, and the sound pressures p1 and p2 were measured at two locations. The ratio p2/p1 was considered as a transfer function H12 (Chu, 1986). The function was used in Equation (2) to obtain the reflection coefficient R:

R =   H 12     e i k S e i k S     H 12 e 2 i k ( L   +   S )
(2)

Where i is 1, and k is the wave number (m−1). Finally, the SAC is determined by the following (Chung and Blaser, 1980):

S A C = 1 | R | 2 ,
(3)

Where |R|2 is the square of the absolute value of the reflection coefficient R.

3. RESULTS and DISCUSSION

The porosity of each sample was determined using a volume ratio (τ) of 0.55. Table 1 shows the rice-husk samples’ measured solid volumes porosities average SAC (αavg), and tortuosity. αavg was calculated at four frequencies of 500, 1,000, 2,000, and 4,000 Hz, and the tortuosity was estimated for an isotropic granular material using the model proposed by Plessis and Masliyah (1991).

Table 1. Physical and acoustic characteristics of husk aggregate samples
Density (kg/m3) Solid volume (cm3) Porosity (φ) αavg Tortuosity (ϕ1(1ϕ)2/3)
182.9 ± 0.6 16.3 ± 0.1 0.88 0.72 1.16
219.6 ± 0.1 19.5 ± 0.2 0.85 0.78 1.18
256.2 ± 0.5 22.8 ± 0.2 0.83 0.81 1.20
292.8 ± 0.6 26.1 ± 0.2 0.80 0.80 1.22
329.4 ± 0.7 29.3 ± 0.2 0.78 0.74 1.23
Download Excel Table

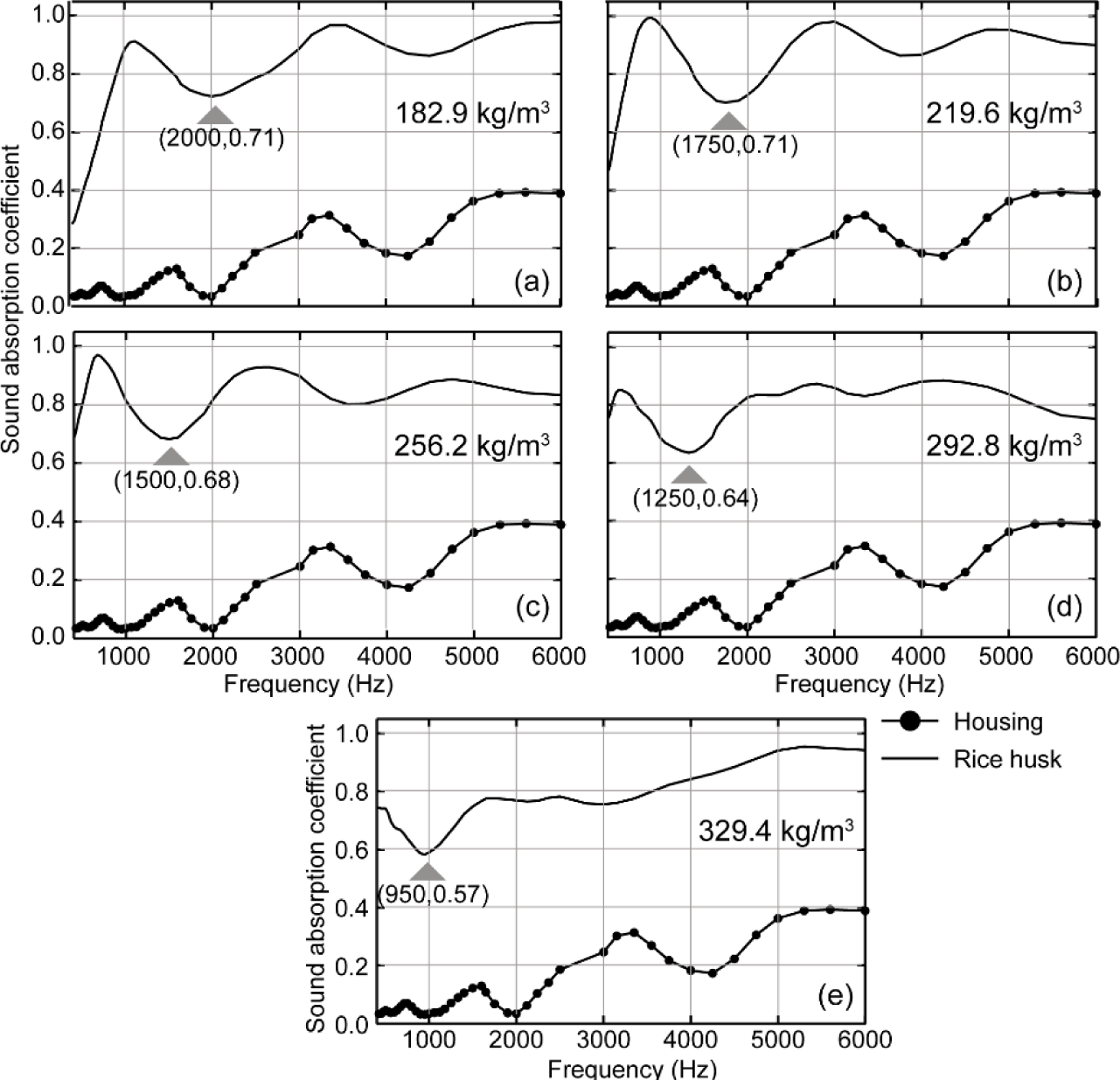
Fig. 4(a–e) display the SACs of rice husks with various densities obtained from the impedance tube. The SAC of the housing is represented by a line with circles, while that of rice husks is shown as a solid line. The SAC shows sinusoidal characteristics with respect to the frequency for low-density samples, as shown in Fig. 4(a–c). The sinusoidal behavior of the absorption is a result of interference between the incident and reflected waves in the impedance tube.

wood-53-6-599-g4
Fig. 4. SACs of rice-husk samples with different filling densities: (a) 182.9, (b) 219.6, (c) 256.2, (d) 292.8, and (e) 329.4 kg/m3. The solid lines represent the SACs of the samples, and lines with circles indicate those of the empty housing. The gray triangles indicate the dip frequencies and their corresponding SACs. SAC: sound absorption coefficient.
Download Original Figure

The packing of rice husk aggregates refers to the arrangement and density of the husks, which influence their porosity and tortuosity, which in turn affect the sound absorption. For most isotropic granular materials, the density and tortuosity increase together, and at longer wavelengths, low-frequency sound waves penetrate deeper and encounter more friction in the convoluted pathways of denser material. The greater friction dissipates more energy, which enhances the material’s ability to absorb low-frequency sound. This change is evident in Fig. 4(d) and (e), where the absorption peak shifts to a lower frequency due to the increased density. These properties significantly impact the material’s ability to absorb sound waves effectively.

The absorption coefficient of the rice husks remained high (around 0.8), regardless of their densities, which was likely due to the interactions between air molecules and the complex surface structure of the husks, including viscous losses and frictional effects. To support this hypothesis, we obtained scanning electron micrographs at magnifications of 500 × and 3,000 ×, as shown in Fig. 5(a) and (b). The husk surface showed pointy hill-like features that were distributed relatively uniformly. These features provided a larger surface area and contributed to the frictional loss of high-frequency sound energy.

wood-53-6-599-g5
Fig. 5. Surface and cross-sectional morphology of rice husk under scanning electron microscope. (a) Micrograph of husk’s surface showing pointy hill-like features at 500 × magnification. (b) Micrograph of husk’s cross-section showing pores of different sizes at 3,000 × magnification.
Download Original Figure

Distributed pores were also observed, as shown in Fig. 5(b). The morphological heterogeneity allows for effective interaction across frequencies. Smaller pores enhance viscous losses at higher frequencies, while larger pores facilitate deeper wave penetration and energy dissipation at lower frequencies. These observations align with the high absorption observed in both low and high frequency bands.

As the density increased, the first peak in the SAC near the first absorption dip shifted towards lower frequencies. As shown in Fig. 6, the frequency appeared to be linearly proportional to the density (R2 = 0.99). This is represented by the equation, fdip = −7.1ρ + 3.3 kHz, which allows for prediction of where the dip will occur at specific densities. The three hexagons in the figure represent the absorption dips of the test data compared with the linear model (solid line). The results were in good agreement and had a maximum deviation of approximately 7%, which was observed at a density of 366 kg/m3.

wood-53-6-599-g6
Fig. 6. Plot of density versus the frequency of the dip (fdip) in sound absorption. The circles represent dip-frequency datapoints extracted from the corresponding plot for a specific density in Fig. 5. The line was produced by fitting a linear model to the data. This fitted equation allows for the prediction of fdip if the density is known. The hexagons represent the test data used to verify the linear relation of fdip and density.
Download Original Figure

Fig. 7(a) and (b) illustrates the relationships of αavg with the apparent porosity and bulk density. These relationships were mathematically modeled with second-order polynomials αavg = −30.0φ2 + 50.9φ – 22.3 (R2 = 0.99) and αavg = −14.9 × 10–6ρ2 + 78.1 × 10–4ρ – 0.21 (R2 = 0.99). These equations make it possible to predict αavg of the rice husks from known values of the porosity (φ) or density (ρ).

wood-53-6-599-g7
Fig. 7. Average sound absorption coefficient (αavg) versus (a) apparent porosity (φ) and (b) bulk density (ρ). The lines represent the fitting results obtained using quadratic models, while the circles show the αavg data. Hexagons denote the results from model test data (i.e., 200.0, 262.0, and 366.0 kg/m3 for density and corresponding porosity of 0.87, 0.83, and 0.76).
Download Original Figure

By setting the derivatives of both equations to zero, the maximum αavg value of 0.81 was found to occur at an apparent porosity of 0.83 and a bulk density of 261.0 kg/m3, as indicated by the grey squares and arrows in Fig. 7(a) and (b). Below and above these values, αavg decreases. These findings are significant as they provide insights into how αavg of the rice husks varies with porosity and density, which are key factors in their acoustic properties. This predictive capability could help with the design and selection of materials for acoustic applications, which could improve sound-absorption performance in various settings. Table 2 shows the αavg values that were manually extracted from graph images using PlotDigitizer and calculated by averaging based on the referenced literature. We compared the physical properties and αavg of rice husks with those of various natural fibers: coir, hemp, pineapple, and kapok. Although strong sound absorption was observed with all the other fibers listed, they require physical or chemical preprocessing to extract them from their host material. In the case of kapok, the seeds and hull fragments must be removed.

Table 2. Physical properties and αavg of various natural fibers reported in the literature
Fiber Thickness (mm) Porosity (φ) Bulk density (10 kg/m3) Fiber diameter (μm) αavg
Coir (Taban et al., 2019) 45 0.76 13.0 263 0.72
Hemp (Santoni et al., 2019) 50 N/A 70.0 18.4 0.84
Pineapple (Putra et al., 2018) 50 N/A 11.7 N/A 0.86
Kapok (Xiang et al., 2013) 60 0.88 42.0 15–23 0.78
Rice husk 50.0 0.78–0.88 18.3–23.2 3.8–5.0 0.81
Download Excel Table

In contrast, rice husks typically do not require any additional processing after milling. If necessary, a simple half-hour treatment in an oven at 50°C is sufficient to reduce the moisture content. In addition to the desirable acoustic absorption coefficients in Table 2, rice husks offer several practical advantages compared to other natural fibers. Firstly, they are cost-effective, sustainable, and abundant as an agricultural byproduct. Unlike fibers that may require dedicated cultivation, the global availability of rice husks as a waste product makes them inherently inexpensive and reduces their environmental burden.

Secondly, the simplicity of their processing is a major advantage compared to other natural fibers, which often require specific treatments before use. Finally, the high silica content provides a unique and inherent resistance to pests and decay that enhances the material’s durability and lifespan. When considering the complete cycle, these benefits make them a convenient and advantageous choice among natural fibers.

4. CONCLUSIONS

This study has explored the sound-absorption characteristics of binder-free aggregate rice husk and evaluated its potential as a sustainable material for noise reduction. Through impedance tube experiments, we determined the SAC of rice-husk samples at various densities and porosity, and the results highlight their effectiveness as sound-absorbing materials. The average SAC is quadratically related to the bulk density and apparent porosity, which provides valuable information for predicting and optimizing the acoustic performance. The results of the proposed models agree with the experimental results, with maximum deviations of 7% for the fdip model, 1% for αavg versus porosity, and 5% for αavg versus density.

The high average absorption coefficients observed across various densities underscore the potential of rice husks as eco-friendly sound-absorbing materials. Furthermore, the simplicity of preparing them without binder offers practical advantages for easy application by non- experts using readily available local materials. This study highlights the potential of rice husks for reducing noise pollution and promoting sustainability in construction materials.

CONFLICT of INTEREST

No potential conflict of interest relevant to this article was reported.

ACKNOWLEDGMENT

The authors would like to express their sincere gratitude to the farmers who generously supplied us with husks for our research. Without their cooperation and support, this study would not have been possible.

REFERENCES

1.

António, J., Tadeu, A., Marques, B., Almeida, J.A.S., Pinto, V. 2018. Application of rice husk in the development of new composite boards. Construction and Building Materials 176: 432-439.

2.

American Society for Testing and Materials [ASTM] 2019. Standard Test Method for Impedance and Absorption of Acoustical Materials using a Tube, Two Microphones, and a Digital Frequency Analysis System. E1050-19. ASTM International, West Conshohocken, PA, USA.

3.

Attenborough, K. 1982. Acoustical characteristics of porous materials. Physics Reports 82(3): 179-227.

4.

Buratti, C., Belloni, E., Lascaro, E., Merli, F., Ricciardi, P. 2018. Rice husk panels for building applications: Thermal, acoustic and environmental characterization and comparison with other innovative recycled waste materials. Construction and Building Materials 171: 338-349.

5.

Cao, L., Fu, Q., Si, Y., Ding, B., Jianyong, Y. 2018. Porous materials for sound absorption. Composites Communications 10: 25-35.

6.

Champoux, Y., Allard, J.F. 1991. Dynamic tortuosity and bulk modulus in air‐saturated porous media. Journal of Applied Physics 70(4): 1975-1979.

7.

Chen, Z., Xu, Y., Shivkumar, S. 2017. Microstructure and tensile properties of various varieties of rice husk. Journal of the Science of Food and Agriculture 98(3): 1061-1070.

8.

Chu, W.T. 1986. Transfer function technique for impedance and absorption measurements in an impedance tube using a single microphone. The Journal of the Acoustical Society of America 80(2): 555-560.

9.

Chung, J.Y., Blaser, D.A. 1980. Transfer function method of measuring in‐duct acoustic properties. I. Theory. The Journal of the Acoustical Society of America 68(3): 907-913.

10.

Curtu, I., Stanciu, M.D., Cosereanu, C., Vasile, O. 2012. Assessment of acoustic properties of biodegradable composite materials with textile inserts. Materiale Plastice 49(1): 68-72.

11.

da Silva, C.C.B., Terashima, F.J.H., Barbieri, N., de Lima, K.F. 2019. Sound absorption coefficient assessment of sisal, coconut husk and sugarcane fibers for low frequencies based on three different methods. Applied Acoustics 156: 92-100.

12.

Eadkhong, T., Danworaphong, S. 2021. On the sensitivity of an air pycnometer. Measurement 169: 108511.

13.

Ersoy, S., Küçük, H. 2009. Investigation of industrial tea-leaf-fibre waste material for its sound absorption properties. Applied Acoustics 70(1): 215-220.

14.

Glé, P., Gourdon, E., Arnaud, L., Horoshenkov, K.V., Khan, A. 2013. The effect of particle shape and size distribution on the acoustical properties of mixtures of hemp particles. The Journal of the Acoustical Society of America 134(6): 4698-4709.

15.

Hwang, J.W., Oh, S.W. 2021. Bending strength of board manufactured from sawdust, rice husk and charcoal. Journal of the Korean Wood Science and Technology 49(4): 315-327.

16.

Hwang, J.W., Oh, S.W. 2024. Density profile and sound absorption capability of ceramics manufactured from sawdust, chaff and charcoal: Effect of carbonization temperature and mixing ratio. Journal of the Korean Wood Science and Technology 52(3): 234-242.

17.

Jang, E.S. 2022a. Peanut shells as an environmentally beneficial sound-absorbing material. Journal of the Korean Wood Science and Technology 50(3): 179-185.

18.

Jang, E.S. 2022b. Experimental investigation of the sound absorption capability of wood pellets as an eco-friendly material. Journal of the Korean Wood Science and Technology 50(2): 126-133.

19.

Jang, E.S. 2022c. Investigation of sound absorption ability of hinoki cypress (Chamaecyparis obtusa) cubes. Journal of the Korean Wood Science and Technology 50(5): 365-374.

20.

Jang, E.S. 2022d. Investigation of sound absorption ability of acanthopanax senticosus wastes. Journal of the Korean Wood Science and Technology 50(6): 404-413.

21.

Jang, E.S. 2023. Sound absorbing properties of selected green material: A review. Forests 14(7): 1366.

22.

Jock, A.A., Ayeni, F.A., Ahmed, A.S., Sullayman, U.A. 2013. Evaluation of the refractory properties of Nigerian ozanagogo clay deposit. Journal of Minerals and Materials Characterization and Engineering 1: 321-325.

23.

Johnson, D.L., Koplik, J., Dashen, R. 1987. Theory of dynamic permeability and tortuosity in fluid-saturated porous media. Journal of Fluid Mechanics 176: 379-402.

24.

Jung, S.Y., Kong, R.K., Lee, K.S., Byeon, H.S. 2021. Effects of air-dried leaves of evergreen broad-leaved trees on sound absorption property. Journal of the Korean Wood Science and Technology 49(5): 482-490.

25.

Kalasee, W., Eakvanich, V., Rachsiriwatcharabul, N., Wattana, W., Dangwilailux, P., Lakachaiworakun, P. 2025. Sound absorption properties of natural fiber composite from areca nut shells fibers with polyvinyl alcohol. Journal of the Korean Wood Science and Technology 53(2): 105-118.

26.

Kalasee, W., Lakachaiworakun, P., Eakvanich, V., Dangwilailux, P. 2023. Sound absorption of Natural fiber composite from sugarcane bagasse and coffee silver skin. Journal of the Korean Wood Science and Technology 51(6): 470-480.

27.

Kenned, J.J., Sankaranarayanasamy, K., Kumar, C.S. 2021. Chemical, biological, and nanoclay treatments for natural plant fiber-reinforced polymer composites: A review. Polymer Composites 29(7): 1011-1038.

28.

Lee, H.M., Luo, W., Xie, J., Wen, G., Lee, P.H. 2021. Studies on the sound absorption and transmission loss performances of wood-based, natural and waste materials. Acta Mechanica Sinica 37(5): 861-873.

29.

Marques, B., Tadeu, A., António, J., Almeida, J., de Brito, J. 2020. Mechanical, thermal and acoustic behaviour of polymer-based composite materials produced with rice husk and expanded cork by-products. Construction and Building Materials 239: 117851.

30.

Massey, F.P., Hartley, S.E. 2009. Physical defences wear you down: Progressive and irreversible impacts of silica on insect herbivores. Journal of Animal Ecology 78(1): 281-291.

31.

Oliva, D., Hongisto, V. 2013. Sound absorption of porous materials: Accuracy of prediction methods. Applied Acoustics 74(12): 1473-1479.

32.

Plessis, J.P.D., Masliyah, J.H. 1991. Flow through isotropic granular porous media. Transport in Porous Media 6(3): 207-221.

33.

Putra, A., Or, K.H., Selamat, M.Z., Nor, M.J.M., Hassan, M.H., Prasetiyo, I. 2018. Sound absorption of extracted pineapple-leaf fibres. Applied Acoustics 136: 9-15.

34.

Rusli, M., Irsyad, M., Dahlan, H., Gusriwandi, Bur, M. 2019. Sound absorption characteristics of the natural fibrous material from coconut coir, oil palm fruit bunches, and pineapple leaf. IOP Conference Series: Materials Science and Engineering 602(1): 012067.

35.

Sahayaraj, A.F., Tamil Selvan, T., Kumar, M.S., Sathish, S., Gokulkumar, S., Jenish, I., Makeshkumar, M. 2024. Fire retardant potential of natural fiber reinforced polymer composites: A review. Polymer-PlasticsTechnology and Materials 63(7): 771-797.

36.

Sakamoto, S., Takauchi, Y., Yanagimoto, K., Watanabe, S. 2011. Study for sound absorbing materials of biomass tubule etc. Journal of Environment and Engineering 6(2): 352-364.

37.

Santoni, A., Bonfiglio, P., Fausti, P., Marescotti, C., Mazzanti, V., Mollica, F., Pompoli, F. 2019. Improving the sound absorption performance of sustainable thermal insulation materials: Natural hemp fibres. Applied Acoustics 150: 279-289.

38.

Smardzewski, J., Batko, W., Kamisiński, T., Flach, A., Pilch, A., Dziurka, D., Mirski, R., Roszyk, E., Majewski, A. 2014. Experimental study of wood acoustic absorption characteristics. Holzforschung 68(4): 467-476.

39.

Taban, E., Tajpoor, A., Faridan, M., Samaei, S.E., Beheshti, M.H. 2019. Acoustic absorption characterization and prediction of natural coir fibers. Acoustics Australia 47(1): 67-77.

40.

Tang, X., Zhang, X., Zhang, H., Zhuang, X., Yan, X. 2018. Corn husk for noise reduction: Robust acoustic absorption and reduced thickness. Applied Acoustics 134: 60-68.

41.

Ullaprom, S., Buapool, S., Wutisatwongkul, J. 2025. Exploring water hyacinth for sustainable sound absorber. Journal of the Korean Wood Science and Technology 53(1): 66-76.

42.

USDA Foreign Agricultural Service. 2024. Grain: World markets and trade. https://fas.usda.gov/data/grain-world-markets-and-trade-03082024

43.

Wang, Y., Wu, H., Zhang, C., Ren, L., Yu, H., Galland, M.A., Ichchou, M. 2018. Acoustic characteristics parameters of polyurethane/rice husk composites. Polymer Composites 40(7): 2653-2661.

44.

Xiang, H., Wang, D., Liua, H., Zhao, N., Xu, J. 2013. Investigation on sound absorption properties of kapok fibers. Chinese Journal of Polymer Science 31(3): 521-529.